中国·永利集团(304am-VIP认证)官网-Official Platform
首页
关于我们
机构设置
团队队伍
本科教育
公司产品
团队建设与科研
党建工作
员工工作
International Education
经理书记信箱
304永利集团新闻
今天是:2015年3月4日 星期三 欢迎光临304永利集团!
研究生教育
当前位置:
首页
>>
研究生教育
>>
正文
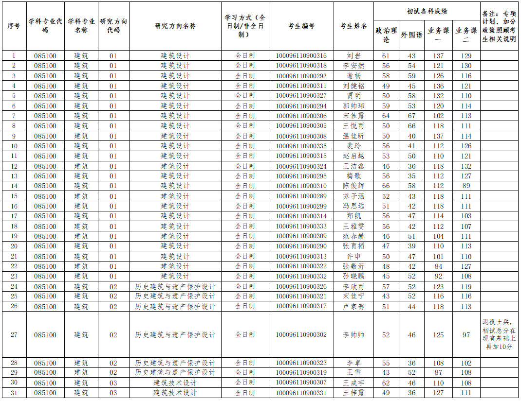
2026年硕士研究生招生考试建筑专硕(085100)第一批次复试考生名单公示
来源:304永利集团
发布时间:
2026-03-30 15:28:56
阅览次数:
建筑
学
(085100)第一批次复试考生名单
建筑学(085100)“立功表彰退役军人免试生”复试考生名单
【
打印
】 【
关闭
】